Skip to contents

Enhances a ggplot2 plot by adding labels that describe the faceting variables along the x and y axes.

Usage

add_facet_labels(p, xfacet_label = NULL, yfacet_label = NULL)

Arguments

p

(ggplot2) object to which facet labels will be added.

xfacet_label

(character) Label for the facet along the x-axis. If NULL, no label is added. If a vector, labels are joined with " & ".

yfacet_label

(character) Label for the facet along the y-axis. Similar behavior to xfacet_label.

Value

Returns grid or grob object (to be drawn with grid.draw)

Examples

library(ggplot2)
library(grid)

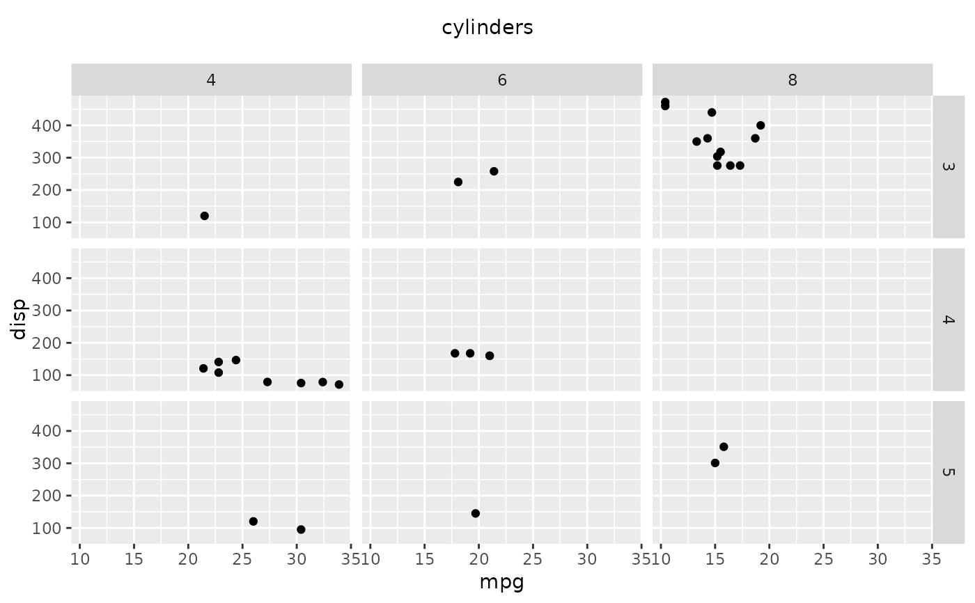
p <- ggplot(mtcars) +
  aes(x = mpg, y = disp) +
  geom_point() +
  facet_grid(gear ~ cyl)

xfacet_label <- "cylinders"
yfacet_label <- "gear"
res <- add_facet_labels(p, xfacet_label, yfacet_label)
grid.newpage()
grid.draw(res)


grid.newpage()
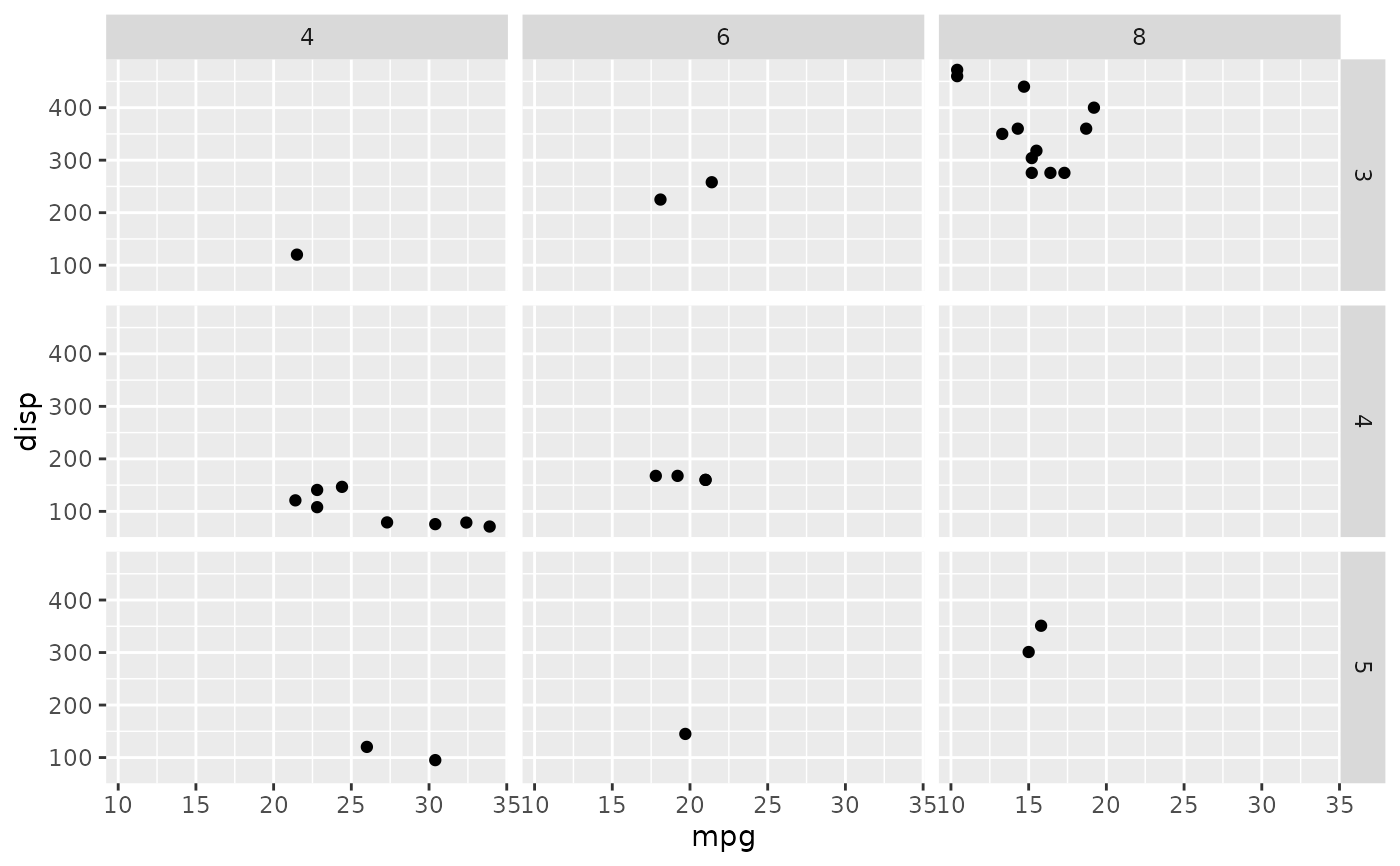
grid.draw(add_facet_labels(p, xfacet_label = NULL, yfacet_label))

grid.newpage()
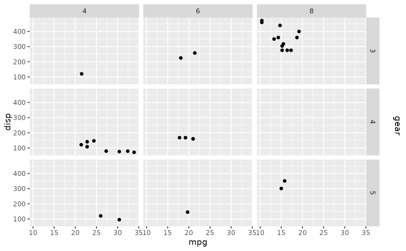
grid.draw(add_facet_labels(p, xfacet_label, yfacet_label = NULL))

grid.newpage()
grid.draw(add_facet_labels(p, xfacet_label = NULL, yfacet_label = NULL))