Skip to contents

Draw adverse event category plot.

Usage

g_ae_sub(
  id,
  arm,
  arm_sl,
  subgroups,
  subgroups_sl,
  trt = levels(arm)[1],
  ref = levels(arm)[2],
  indent = 4,
  subgroups_levels = NULL,
  xmax = 0,
  conf_level = 0.95,
  diff_ci_method = c("wald", "waldcc", "ac", "score", "scorecc", "mn", "mee", "blj",
    "ha", "beal"),
  fontsize = 4,
  arm_n = FALSE,
  draw = TRUE
)

Arguments

id

(vector)
contains subject identifier. Usually it is ADAE$USUBJID.

arm

(factor)
vector that contains arm information in analysis data. For example, ADAE$ACTARMCD.

arm_sl

(vector)
contains the subject level treatment variable. For example, ADSL$ACTARM.

subgroups

(data.frame)
Variables to conduct analysis.

subgroups_sl

(data.frame)
Subject level variables to conduct analysis. Usually from ADSL.

trt

(character)
indicates the name of the treatment arm. Default is the second level of arm.

ref

(character)
indicates the name of the reference arm. Default is the first level of arm.

indent

(numeric)
non-negative integer where 0 means that the subgroup levels should not be indented

subgroups_levels

(list)
A nested named list of variables to conduct analysis. The names of the nested lists are used to show as the label. The children lists should start with "Total" = variable label, followed by labels for each level of said variable. See example for reference.

xmax

(numeric)
maximum range for the x-axis. x-axis range will be automatically assigned based on risk output when xmax is less than or equal to 0. xmax is 0 by default

conf_level

(numeric)
the confidence interval level, default is 0.95.

diff_ci_method

(character)
the method used to calculate confidence interval. Default is "wald". Possible choices are methods supported in BinomDiffCI.

fontsize

(numeric)
font size for the plot. It is the size used in ggplot2 with default unit "mm", if you want "points" you will need to divide the point number by ggplot2:::.pt.

arm_n

(logical)
whether to display the N in each arm.

draw

(logical)
whether to draw the plot.

Value

grob object

Details

there is no equivalent STREAM output

Author

Liming Li (Lil128) liming.li@roche.com

Examples

library(grid)
ADAE <- osprey::rADAE
ADSL <- osprey::rADSL

id <- ADAE$USUBJID
arm <- ADAE$ACTARMCD
arm_sl <- as.character(ADSL$ACTARMCD)
subgroups_sl <- ADSL[, c("SEX", "RACE", "STRATA1")]
subgroups <- ADAE[, c("SEX", "RACE", "STRATA1")]
subgroups_levels <- list(
  RACE = list(
    "Total" = "Race",
    "AMERICAN INDIAN OR ALASKA NATIVE" = "American",
    "WHITE" = "White",
    "ASIAN" = "Asian",
    "BLACK OR AFRICAN AMERICAN" = "African"
  ),
  STRATA1 = list(
    "Total" = "Strata",
    "A" = "TypeA",
    "B" = "TypeB",
    "C" = "Typec"
  ),
  SEX = list(
    "Total" = "Sex",
    "M" = "Male",
    "F" = "Female"
  )
)
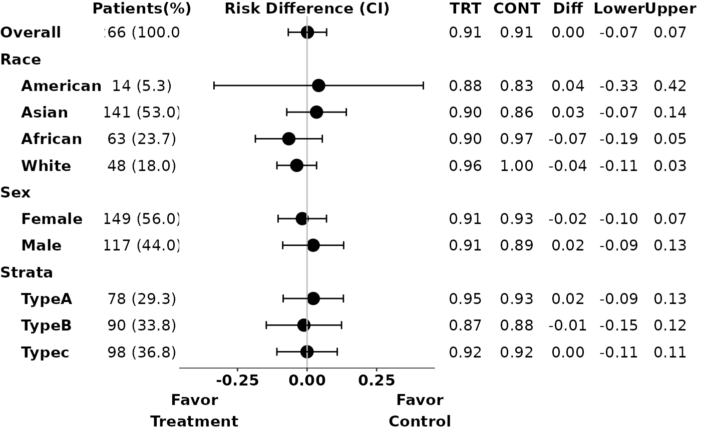
# Example 1
p1 <- g_ae_sub(id,
  arm,
  arm_sl,
  subgroups,
  subgroups_sl,
  trt = "ARM A",
  ref = "ARM C",
  subgroups_levels = subgroups_levels,
  arm_n = FALSE
)

grid::grid.newpage()

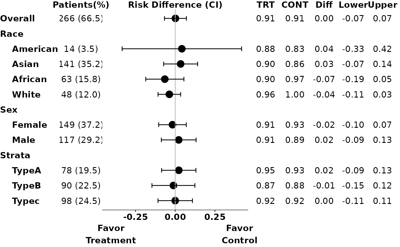
# Example 2: display number of patients in each arm
p2 <- g_ae_sub(id,
  arm,
  arm_sl,
  subgroups,
  subgroups_sl,
  trt = "ARM A",
  ref = "ARM C",
  subgroups_levels = subgroups_levels,
  arm_n = TRUE
)

grid::grid.newpage()

# Example 3: preprocess data to only include treatment and control arm patients
trt <- "ARM A"
ref <- "ARM C"
ADAE <- osprey::rADAE
ADSL <- osprey::rADSL %>% filter(ACTARMCD %in% c(trt, ref))
id <- ADAE$USUBJID
arm <- ADAE$ACTARMCD
arm_sl <- as.character(ADSL$ACTARMCD)
subgroups_sl <- ADSL[, c("SEX", "RACE", "STRATA1")]
subgroups <- ADAE[, c("SEX", "RACE", "STRATA1")]
subgroups_levels <- list(
  RACE = list(
    "Total" = "Race",
    "AMERICAN INDIAN OR ALASKA NATIVE" = "American",
    "WHITE" = "White",
    "ASIAN" = "Asian",
    "BLACK OR AFRICAN AMERICAN" = "African"
  ),
  STRATA1 = list(
    "Total" = "Strata",
    "A" = "TypeA",
    "B" = "TypeB",
    "C" = "Typec"
  ),
  SEX = list(
    "Total" = "Sex",
    "M" = "Male",
    "F" = "Female"
  )
)
p3 <- g_ae_sub(id,
  arm,
  arm_sl,
  subgroups,
  subgroups_sl,
  trt,
  ref,
  subgroups_levels = subgroups_levels,
  arm_n = FALSE
)